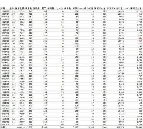
楽天でんきからダイレクトメールが届いて、東電よりも安くなると書いてあったので試算してみました。過去3年半の電気料金合計が44万円、もし楽天でんきだったら41万円となりその差は3万円。年間8千円ぐらい安くなるみたいです。さっそくWEBから申し込んで10…
引用をストックしました
引用するにはまずログインしてください
引用をストックできませんでした。再度お試しください
限定公開記事のため引用できません。